+1 demo: Basic page

T7TPro

Telegram

BB4 Type Pump

Overview

Application

Benefits

Options

Part List

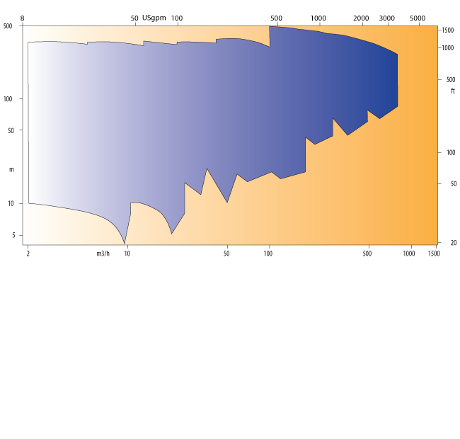
Performance

Documents

Single or multi-stage, ring section, radially split (suction, discharge and stage) casings, between-bearings, foot mounted, horizontal high centrifugal pumps  to EN 22 858/ISO 2858/ISO 5199.

 

• Flow rate (Max.):   900 m3/hr

• Differential head (Max.): 300 m

• Speed (Max.): 3000 rpm

• Suction pressure rating: Up to 10 bar g

• MAWP: 30 bar g

• Operating temperature: -15 ˚C to 120 ˚C

• Design temperature: 80 ˚C

  • Municipal and industrial water supply
  • Pressure boosting applications
  • Irrigation and sprinkler plants
  • Cooling & hot circulation water
  • Boiler feed water
  • Reverse osmosis plants
  • High pressure water in hydraulic presses
  • Condensate handling
  • Fire-fighting

 

 

  • Replaceable casing wear rings
  • The rotating assembly is hydraulically balanced by means of back vanes or balance holes at the rear of the impeller
  • Operating costs reduced by trimming the impeller dia.
  • Little wear, low vibration levels
  • Casing sealed reliably
  • Optimum material selection
  • Extended selection chart
  • Lower initial cost
  • Replaceable casing wear rings
  • The rotating assembly is hydraulically balanced by means of back vanes or balance holes at the rear of the impeller
  • Operating costs reduced by trimming the impeller diameter
  • Little wear, low vibration levels
  • Casing sealed reliably
  • Optimum material selection
  • Extended selection chart
  • Lower initial cost

Alond Pumps Hydraulic Coverage

BB4 series

 

Other hydraulics on request

 

  • Catalogue

    BB4-Catalogue 2015

  • IOM

    BB4-Installation, Operation & maintenance Manual- 2012

  • Data-sheet Forms

    BB4-Compact Data-sheet